健康提醒

▲中山外市来(返)人员健康申报平台

▲村(社区)电话查询
特别提醒:
其他重点关注地区:

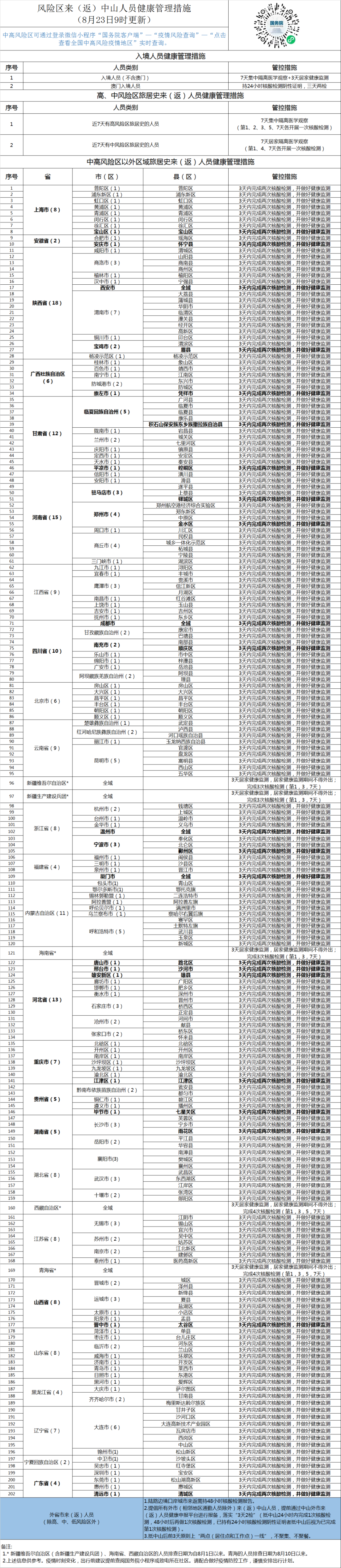
二、陆路边境口岸城市来返需持48小时核酸检测报告。提倡所有外市(相邻地区通勤人员除外)来(返)中山人员,提前通过中山外市来(返)人员健康申报平台进行报备,主动落实“3天2检”(抵中山24小时内完成1次核酸检测,48小时后再做1次核酸检测,已持有24小时核酸检测阴性证明者抵中山后视为已完成第1次核酸检测)。抵中山后前3天原则上“两点(居住点和工作点)一线”,不聚集、不聚餐。广大市民如发现身边亲友近7天内有本土个案报告所在地区旅居史的,务必提醒其第一时间申报。
三、当前疫情防控形势依然严峻,请市民继续履行个人防控责任,坚持科学戴口罩、勤洗手、多通风、保持社交距离,主动配合落实各项疫情防控要求。
健康管理方式要求
居家隔离:
1.最好单独居住。如与家人同住,应单人单间,尽量使用单独卫生间,日常生活、用餐尽量限制在隔离房间内。
2.与其他家庭成员近距离接触时,必须规范佩戴口罩。
3.每天早、晚各测一次体温。 一旦出现发热、干咳、乏力、咽痛、嗅(味)觉减退、腹泻等可疑症状,应及时报告社区管理人员。
4.配合工作人员上门核酸采样。
5.居家隔离人员和共同居住者在居家隔离期间不得外出,因就医(核酸)等外出需专人专车、做好个人防护。
6.保持居室勤开窗通风,做好家居日常清洁及卫生间、浴室等共享区域的消毒。
7.生活垃圾装入塑料袋,放置到专用垃圾桶。
居家健康监测:
1.选择在通风较好的房间居住,尽量使用单独卫生间。
2.每天早、晚各测一次体温。一旦出现发热、干咳、乏力、咽痛、嗅(味)觉减退、腹泻等可疑症状,应及时就医。
3.根据防控要求配合完成核酸检测。
4.居家健康监测期间不外出,如就医等特殊情况必需外出时做好个人防护,尽量避免乘坐公共交通工具。
5.保持居室勤开窗通风,做好家居日常清洁和消毒。
6.尽量避免与家人近距离接触,提倡分餐制。